Three sets of one-degree-long focus scans were obtained on the night of 980918 UT at the 2MASS North facility at Mt. Hopkins. This test was the sixth of several iterative tests to recheck telescope focus and collimation at the start of post-summer shutdown.
Three focus runs (Run 10-12) were obtained in a similar fashion to those
obtained on 980914n, 980915n, 980916n (Runs 1-9):
The raw data for the focus test scans were processed during
the 24hr QA/Tape validation processing at IPAC on 980918 (PDT) using 2MAPPS
v2.0x. Scan 013 failed pattern matching in POSFRM so there are no psf images
for this scan.
scn foc Tel_T Rg_T Jrat2 Hrat2 Krat2 Jsh Hsh Ksh Jpfrc Hpfrc Kpfrc
---------------------------------------------------------------------------
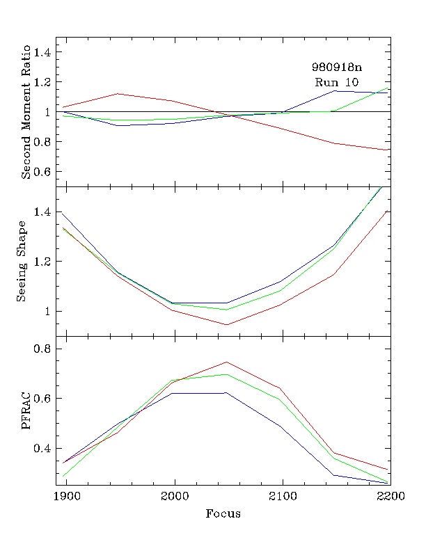
Run 10:
002 1896 17.9 16.8 1.003 0.973 1.031 1.391 1.331 1.337 0.3395 0.2855 0.3402
003 1947 17.9 16.7 0.908 0.944 1.121 1.156 1.154 1.141 0.4973 0.4847 0.4627
004 1997 17.9 16.8 0.922 0.950 1.074 1.034 1.030 1.004 0.6193 0.6728 0.6627
005 2048 17.9 16.7 0.970 0.978 0.981 1.033 1.006 0.945 0.6212 0.6968 0.7462
006 2097 17.8 16.6 0.991 0.993 0.891 1.118 1.081 1.025 0.4887 0.5949 0.6402
007 2147 17.8 16.6 1.140 1.005 0.790 1.264 1.250 1.147 0.2920 0.3596 0.3815
008 2197 17.8 16.5 1.125 1.162 0.743 1.527 1.537 1.406 0.2592 0.2644 0.3140
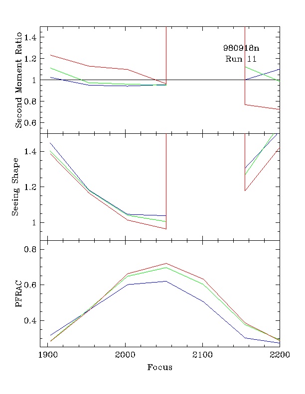
Run 11:
009 1903 17.8 16.5 1.025 1.113 1.234 1.448 1.402 1.387 0.3156 0.2828 0.2818
010 1953 17.8 16.6 0.951 0.975 1.130 1.183 1.180 1.166 0.4575 0.4637 0.4559
011 2003 17.8 16.5 0.943 0.961 1.099 1.046 1.041 1.014 0.6012 0.6485 0.6622
012 2053 17.8 16.6 0.958 0.950 0.965 1.038 1.005 0.964 0.6200 0.6973 0.7207
013 2101 17.8 16.6 UNDEF UNDEF UNDEF UNDEF UNDEF UNDEF 0.5053 0.6030 0.6322
014 2155 17.8 16.6 1.003 1.123 0.769 1.306 1.269 1.179 0.3015 0.3770 0.3864
015 2203 17.8 16.6 1.109 0.978 0.721 1.528 1.572 1.440 0.2708 0.2849 0.2798
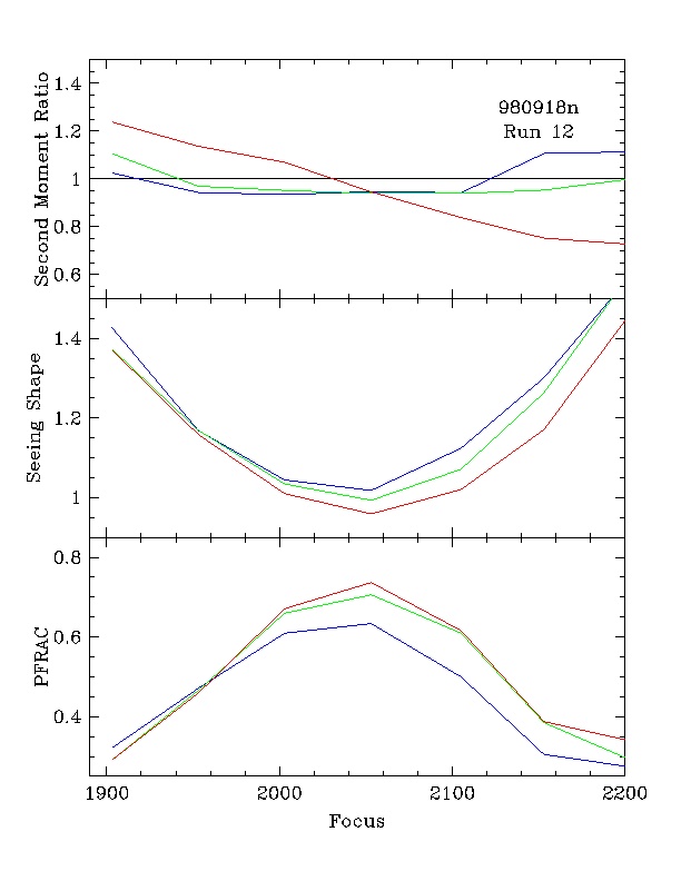
Run 12:
016 1903 17.8 16.7 1.025 1.106 1.238 1.427 1.373 1.371 0.3214 0.2911 0.2911
017 1953 17.8 16.7 0.943 0.969 1.137 1.168 1.169 1.158 0.4711 0.4658 0.4593
018 2003 17.8 16.6 0.935 0.952 1.070 1.044 1.034 1.010 0.6096 0.6598 0.6712
019 2053 17.8 16.6 0.947 0.939 0.946 1.018 0.993 0.959 0.6338 0.7057 0.7366
020 2105 17.8 16.6 0.942 0.939 0.838 1.124 1.071 1.020 0.5000 0.6096 0.6158
021 2153 17.8 16.6 1.106 0.954 0.752 1.301 1.263 1.171 0.3052 0.3848 0.3879
022 2203 17.8 16.6 1.114 1.000 0.726 1.556 1.563 1.462 0.2737 0.2918 0.3392
D. Kirkpatrick - IPAC
Last update - 18 September 1998